系统:安卓6.0以上 大小:54.70M 版本:44 时间:2025-05-28 14:50




另一个幸存者是一款融合了轻度肉鸽元素的生存割草游戏,主打给玩家带来15分钟一局的快节奏战斗体验。游戏中,玩家将操控角色在源源不断的怪物中进行冒险求生,并通过自动战斗与走位操作结合,体验弹幕地狱中极限生存的刺激感。同时玩家每击退一波怪物都能获得一个技能强化,玩家需要进行合理选择,搭配出独特的战斗流派。快来另一个幸存者开启你的冒险之旅吧!
另一个幸存者游戏怎么加点
属性包含6维,加点也是平均分配。前期星星不够用,加点有优先级。
个人建议:前期加点顺序是分身1级、进阶1级、属性点、祝福1级、收获1级、剑雨1级,之后再分身、进阶、属性点不断循环。属性点加多少看你自己喜欢,剑雨看你感觉去加。
主要是我只有五百多星星,后期啥样我也猜不到,感觉技能加到5级就够了,后期是加属性为主,属性是六次方,提升幅度太大了。
原因:
1、属性点问题。属性点是战斗中卡片和羁绊增加的百分比,对战斗提升很大。
这是没加属性的情况下1级暴击是12%
属性加到9级后,此时的暴击1级从12%增加到17.4%,增幅45%。
2、技能问题。
分身和进阶提升的输出是实打实的,对所有伤害均有加成。
剑雨很容易伤害溢出,触发了也就那么回事,关键是剑雨还存在输出上限,群攻弹射好像最高9次,攻速一秒忘了几下了,反正都有上限,超出上限就只加伤害,而这超出上限加的伤害剑雨享受不到。但前期用还是可以凑合的。
祝福这东西,只对卡牌有加成,对羁绊没有加成,点1级拼脸就行,不值得多点。
收获更坑,概率低,加的属性不稳定,点1级拼脸就行。
嗜血加的伤害也是实打实的,但前期实在没啥用,而且加的系数太低了,后面才慢慢追上来。前期不建议加。
最后说明一下,我看到分身能触发进阶,分身能不能触发剑雨我没看清,但应该能。至于进阶能不能触发剑雨,我是真看不出来。要是不能触发的话,剑雨表现的就更差劲的,不能作为其他技能和属性点的系数去相乘,丢的伤害可不是一星半点。
游戏阶段及玩法
1、学前
如果你还没有通关第一次,这是一个肉鸽选卡游戏,那么主要要讲的是怎么选卡。
1.1秒伤
在战斗界面,如图
这是这个游戏的核心,当你的秒伤大于推荐的时候,基本上意味着你能继续存活,反之大概率很快要死。注意这里秒伤在前推荐在后,5788是秒伤,5281是推荐。于是游戏就变成了如何选牌来让你的秒伤最大化。
1.2选牌原则
总共8种卡牌类型,经验和祈福可以算作成长类卡牌,其他的都是战力类卡牌。经验祈福提供的是后期能力,而战力卡牌构成了秒伤。
大致原则是,当你的秒伤远高于推荐的时候,选择经验和祈福,否则选秒伤牌。选牌时一般选择等级高的卡或者+2的卡,如果都差不多选择牌少的那个。如果秒伤比较吃紧可以去凑羁绊提战力。
这里要提到的是,攻击、攻速、暴击、增伤、弹射、群攻里面没有哪个比哪个好的说法,均衡的加点能最大化秒伤。经验和祈福相比,经验偏重前中期,祈福妥妥大后期,并且祈福是指数级增长的后期牌。
2、入门
基本上注意以上的点就能够通过第一关了。来到难度5以上,这个游戏就变成了一个养成游戏,你会发现随着难度的提升,基本上打不过。就需要利用星星进行加点,提供场外的天赋能力。
星星比较少,例如50一下的时候,可以选择点技能,收获、分身是比较好的,可以各加一级。
星星多起来的时候,不能都加在技能上,要匀一半给属性点,属性点加点要均衡,各一级。
关于技能的点法我不太清楚,各种的都有。看到论坛里常见的就是分身和进阶各6级,其余的收获和祝福点1级。群里榜一大佬难二都不会好像说平均加,收获和祝福可以多加一点。
这是我目前的点法,大家随意参考一下,关键点是要点属性,均衡点。
3、进阶
这游戏到了这里就变得非常肝了,你只能不停打,打又打不过,只能混点星星,星星高了才能推后面的关卡。另一方面它的选卡策略其实挺单一的,玩多了就没什么乐趣。它又不像放置游戏,它需要你不停的去战斗,关键战斗也不省心,游戏内置了自动模式和AI选卡模式,两个模式都挺蠢的,根本走不远,还得手动选卡。
3.1选卡逻辑量化
我想了想选卡逻辑其实不太难的,我在游戏里也找不到可以设置选卡逻辑的地方,于是干脆自己造一个
大致想法就是1学前里所说的选卡逻辑,并量化出来了,计算卡牌价值的伪代码如下
step1卡牌价值=卡牌等级+基础价值bias
step2如果是两张卡,卡牌价值=卡牌价值x2
step3如果是祝福卡,卡牌价值=卡牌价值x1.2
step4如果是两张卡, 卡牌价值=卡牌价值+1
step5 如果选卡之后羁绊会升级,卡牌价值 = 卡牌价值 + 5
step6如果卡牌类型是祈福, 卡牌价值=卡牌价值+祈福补偿
step7如果卡牌类型是经验, 卡牌价值=卡牌价值+经验补偿
其中,祈福和经验补偿这样来设计,秒伤推荐比>=2的时候,祈福补偿=1000,这样其他秒伤牌就不会被选到;同理,当秒伤推荐比小于某个值比如1的时候,让祈福补偿为-1000,这样祈福牌就不会被选到。
其中,基础价值bias是为了平衡双卡算法的,step4+1的想法是因为双卡有一个增加羁绊的好处。
计算完每一张卡的价值后,选择价值最大的那张卡。
3.2测试猫
有了核心的选卡逻辑,后面就是用程序来自动化,我用到的工具是 测试猫,需要电脑连接安卓手机,JavaScript语言。
上手超级简单,我一个没接触过java的人10分钟就学会了。大家稍微看一下,很快就学会了。这个环节也是我乐趣最大的一个阶段,我写了我人生当中第一个游戏脚本。
4、高阶
经过阶段3,那么这个游戏已经是一个放置游戏了。那么乐趣就回归到如何更合理的选卡,这就成为一个数学建模游戏。以下是一些我的头脑风暴,还没有入手。主要是懒得动脑想公式,想用强化学习来做。
4.1数学模型构建
4.1.1目标函数
这个游戏的核心其实,怎么选卡使得秒伤最大,这个秒伤还不是当期的秒伤最大,还包括了未来至游戏结束内的秒伤最大,并且该秒伤要大于推荐秒伤。
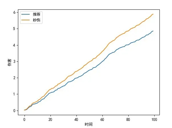
可以在坐标轴内对秒伤和推荐秒伤画两条曲线,纵坐标是伤害,横坐标是时间
如图橙色是秒伤曲线,蓝色是推荐曲线。这样游戏的目标可以定义为这两条曲线间的面积最大化
maxloss = 求和Dy(t, pi)-Ds(t)
其中Dy(t, pi)为t时刻,采取选卡策略pi下的秒伤, Ds(t)为t时刻的推荐秒伤
4.1.2网络及输入输出
Dy(t, pi)的函数形式考虑用全连接网络就够了
输入选卡时三张卡的信息,已有的这堆数据,如下图
可能还需要技能加点数据和时间数据。
技能加点不好归一化,可以考虑借鉴transformer里面的embedding的做法,一种技能一个等级视作一个类别,然后建立一个查询table。但是也可以先不管加点,视作统一的加点来做这个模型。
加入时间数据是考虑到推荐秒伤可能在某些时间点暴涨
5、结语
人玩游戏,不是游戏玩人。希望大家保持学习,保持进步,生命珍贵,不要沉溺于肤浅的欲望之中。
一、第一步开局
找经验或祈福尽量追到4/4(现在开始马上停手)
要是没有这俩怎么办呢?尽量找等级高的卡,最好每个羁绊凑个2/2,这样稳定过前期。
第二步中期选择
这时候基本稳住局面了(没稳住的出门右转,下一把??)。一般现在分情况讨论卡片选择。
第一种情况:大优势,指秒伤是推荐伤害1倍以上(这种一般都是前面脸比较好的),这时候我们尽量选祈福,副选经验,不然后期几分钟可能打不过。
第二种情况:均势或者小劣势,指秒伤略高于或低于推荐伤害。这种情况千万不要选祈福和经验,不然逃不掉暴毙的命运,尽量凑羁绊,把伤害羁绊追9/9。(大多数情况都能稳住)
第三步收尾阶段
这个时候对于前期没星星的新玩家来说还是有很大难度的(大佬请自行绕路??)推荐伤害涨的很快,估计通关要40w左右的秒伤。能不能顶住这个时期就要看你中期运营的经验和祈福点没点上去了,最少祈福9/9,经验4/4。这是能通关的。(一把实在过不去就多试几次)
二、关于星星的选择上
有十五颗星就先点收获(这个特别重要)
剩余零散的星就把每个属性点一些
30星了就点分身上,这个公测感觉祝福是真被砍废了(尽量通关没压力了再点)。
升星小技巧,打到第五关一直刷这一关,目前第一星星那个就是这么操作的。
另一个幸存者凭借独特的游戏玩法,在同类游戏中脱颖而出。游戏将割草冒险和肉鸽元素巧妙的结合在一起,主打给玩家带来不一样的冒险体验。玩家通过简单的操作就可以搭配出丰富多样的战术,并通过角色的羁绊和技能叠加,触发不一样的效果来抵御怪物。对于喜欢策略冒险和弹幕射击玩法的玩家来说,这款游戏非常值得一试。
厂商名称:李鼎天
应用类型:手机网游
包名:xd.sce.projectvampire
MD5值:f0fe2bbc1261361519fb
psp权限:查看权限
隐私政策: 查看隐私说明
备案号:沪ICP备16012525号-73A
星露谷物语1.7美化版
手机网游 / 402.71M / 2026-04-07
查看
魔女之家
手机网游 / 59.42M / 2026-04-07
查看
植物大战僵尸娘化版
手机网游 / 95.17M / 2026-04-07
查看
生存战争老版本1.0
手机网游 / 42.64M / 2026-04-07
查看
跨界对决5.0(须佐佐助)
手机网游 / 598.20M / 2026-04-07
查看
梦想与征程
手机网游 / 519.69M / 2026-04-07
查看
天命之子
手机网游 / 69.03M / 2026-04-07
查看
波比的游戏时间第五章
手机网游 / 1036.02M / 2026-04-07
查看
英雄传说碧之轨迹汉化版
PSP游戏 / 1.13G / 2026-04-02
查看
永恒传说汉化版
PSP游戏 / 724.65M / 2026-01-26
查看
铁拳5暗之复苏中文版
街机游戏 / 1.08G / 2026-01-17
查看
异度装甲汉化版
PSP游戏 / 7.46M / 2026-01-07
查看
重生传说汉化版
PSP游戏 / 821.26M / 2025-12-26
查看
光明之刃整合版
PSP游戏 / 0.00M / 2025-12-25
查看
恶魔城X历代记汉化版
PSP游戏 / 721.10M / 2025-12-19
查看
光明之心汉化版
PSP游戏 / 12.56M / 2025-11-28
查看
伊苏7中文版
PSP游戏 / 722.91M / 2025-11-18
查看
英雄传说碧之轨迹整合版
PSP游戏 / 1.13G / 2025-07-24
查看
勇者斗恶龙怪兽篇汉化版
PSP游戏 / 140.41M / 2025-07-22
查看
铁拳6中文版
街机游戏 / 699.57M / 2025-03-18
查看